Abstract
Objective: To assess the efficacy and safety of Tocilizumab (TCZ) for the treatment of cystoid macular edema (CME) associated to non-infectious uveitis in a series of 7 patients at 24 months of follow-up.
Methods: Retrospective case series of 7 patients with CME secondary to noninfectious uveitis who had inadequate response to corticosteroids and at least 1 conventional immunosuppressive drug and in most cases to other biological agent. Macular thickness, intraocular inflammation, best corrected visual acuity (BCVA) and steroid- sparing effect were the main variables analyzed.
Results: 7 patients with a mean age of 38.9 ± 17.8 years with refractory uveitic CME were studied. Underlying diseases associated were: juvenile idiopathic arthritis (n=3), Birdshot (n=2) and idiopathic uveitis (n=2). All patients had bilateral involvement. TCZ was prescribed in combination with conventional immunosuppressive drugs in 5 of 7 patients. After 24 months of therapy, a statistically significant improvement in macular thickness (397.8 ± 232.1 µm vs. 231.3 ± 42.1 µm, P<0.01) and BCVA (0.32 ± 0.23 at baseline vs. 0.59 ± 0.33 at 24-month last visit, P=0.007) was obtained. A glucocorticoid sparing-effect was also observed. Remission was achieved in 6 patients and no severe adverse events were noticed at 2 years follow-up.
Conclusions: TCZ seems to be effective and safe in refractory uveitic CME at 24 months follow-up.
Keywords
Cystoid macular edema, Uveitis, Anti-TNF therapy, Tocilizumab
Introduction
Uveitis includes a large spectrum of inflammatory disorders characterized by intraocular inflammation. Most uveitis may complicate with cystoid macular edema (CME) and permanent blindness. CME is a swelling of the macula with fluid accumulation within the intracellular spaces of the retina, leading to the formation of cystic spaces [1].
According to anatomical location, panuveitis (36%-66%) and intermediate uveitis (40%- 60%) are the patterns most commonly associated with CME [2]. The immune mediated systemic diseases most related to CME are sarcoidosis, juvenile idiopathic arthritis (JIA), Birdshot chorioretinopathy and Behçet disease [3-9]. The pathogeny of non- infectious uveitic CME is not yet fully understood, and the etiology might be multifactorial [10]. Tumour necrosis factor-alpha (TNF-alpha) has traditionally been considered one of the most important molecules in systemic inflammation processes, including those related to eye inflammation [11]. However, a substantial increase in Interleukin-6 (IL-6) levels has been demonstrated in the aqueous humor of patients with uveitic CME [12,13]. Exposure to high levels of IL-6 and other inflammatory mediators in the inner blood-retinal barrier results in increased endothelial permeability and angiogenesis due to overproduction of vascular endothelial growth factor (VEGF). This leads to the formation of aqueous cyst in the macula [14,15].
Topic, oral or intravenous corticosteroids and conventional immunosuppressant agents are generally the first step in the management of acute non-infectious uveitic CME. However, many patients even present partially or no response to these therapies. In addition, long-term therapy with corticosteroids is associated with ocular and systemic side effects [16-20]. In this regard, the appearance of biological drugs targeted at specific molecules (anti-TNF-alpha or anti-IL-6 receptor) has clearly improved the prognosis of our patients [21-31].
Tocilizumab (TCZ, Actemra®, Roche AG, Basel, Switzerland), the first IL-6 inhibitor that proved efficacy in humans, is a humanized mouse monoclonal antibody inhibitor of IL-6 receptor. It binds to both membrane-bound and soluble receptor and inhibits downstream signaling to inflammatory mediators. It can be used intravenously or subcutaneously. This biological drug has shown a good safety profile with the risk of malignancy, gastrointestinal perforation and dose-dependent neutropenia.
TCZ is currently approved for the treatment of rheumatoid arthritis (RA), juvenile idiopathic arthritis (JIA), and giant cell arteritis (GCA) by the FDA [32]. Several studies have reported the efficacy of TCZ in non-infectious uveitic CME, but in most of them the data are based in small sample size [13,23,33-37].
However, Sepah et al. published the first prospective randomized clinical trial (STOP- Uveitis) to assessed the safety and efficacy of TCZ in non-infectious uveitis, showing that this drug was well-tolerated and associated with a reduction in vitreous haze and cystoid macular edema [38].
The present study is a data extension from the original article by Vegas-Revenga et al. [2] to assess the efficacy and safety of TCZ in non-infectious uveitis-associated CME. Our group observed that treatment with TCZ in patients with refractory CME decreased macular thickness at one year of follow-up [2]. At this time, we report the results of 7 patients that were selected from the first work to follow up over a 24-month period after TCZ was administered.
Patients and Methods
Design, Enrolment Criteria and Definitions
This study is a subanalysis of a retrospective case series study [2] that evaluated the effect of TCZ administered intravenously (TCZ-IV) or subcutaneously (TCZ-SC) to 7 subjects with refractory non-infectious uveitis CME, followed up over a 24-month period. Written informed consent was requested and obtained from all patients, and the drug administration protocol was approved by the drugs and therapeutics committee of each selected hospital. IRB/Ethical approval was also obtained from Spanish National authorities (NVR- 2018.124.).
TCZ was administered intravenously (iv) at a dose of 8 mg/kg every 4 weeks in all patients. Response was assessed by comparing to baseline at weeks 1 and 2, and at months 1, 2, 3, 6, 12 and 24. Prior to TCZ administration, 6 of 7 patients had received treatment with corticosteroids (local or systemic), at least one conventional synthetic immunosuppressive drug, and a biological agent (generally an anti-TNFα inhibitor), and had presented partial or no response to these therapies. Only 1 patient received TCZ as the first biological agent.
Prior to the administration of TCZ, the presence of tumors or chronic infections, including tuberculosis, hepatitis B, and hepatitis C, was ruled out as indicated in Spanish National Guidelines.
Macular edema was considered persistent or unresponsive to corticosteroids, to synthetic immunosuppressive drugs or to biological agents when central foveal thickness was ≥ 300 µm and/or presence of cystic spaces was confirmed after regular evaluations.
Outcome variable
To determine efficacy and safety, macular thickness, visual acuity, the intraocular inflammation and the sparing effect of glucocorticoids were assessed.
Intraocular inflammation was evaluated according to the SUN Working Group [39,40].
The best-corrected visual acuity (BCVA) was estimated using the Snellen chart [40].
Macular thickening was defined as central macular thickness of >300 mm on optical coherence tomography (OCT), and CME included the presence of radially oriented cystoid spaces in the macula, visualized by OCT.
Statistical analysis
Statistical analysis was performed using Statistica software (StatSoft). Results were expressed as the mean ± SD or median (interquartile range [IQR]) as appropriate. Wilcoxon’s signed rank test was used to compare continuous variables prior to and after TCZ therapy. Results were reported considering the number of affected eyes.
Results
Demographic and clinical features at baseline
Seven patients (6 women/1 man) with a mean age of 38.9 ± 17.8 years with uveitic CME refractory to conventional immunosuppressive drugs and in most cases to other biologic (n=6) were studied. The underlying diseases were as follows: JIA (n=3), Birdshot (n=2) and idiopathic uveitis (n=2). All patients had bilateral involvement and patterns of uveitis were anterior (n=2), intermediate (n=2), posterior (n=2) and panuveitis (n=1).
Before TCZ infusion, 6 of the 7 patients received oral glucocorticoids (prednisone, mean dose of 40 ± 16.7 mg). All of them received intraocular injection (Ozurdex). None received intravenous methylprednisolone. Besides oral glucocorticoids and before the onset of biologic therapy, patients had received the following immunosuppressive agents: methotrexate (n=5), cyclosporine A (n=7), azathioprine (n=1), sulfasalazine (n=1), leflunomide (n=1) mycophenolate (n=1) and acetazolamide (n=1). The mean number of conventional immunosuppressive drugs given before the start of TCZ was 2.6 ± 0.9 per patient. Most patients had also received other biologic agents before TCZ as follows: adalimumab (n=5); infliximab (n=2), etanercept (n=1), rituximab (n=1) and abatacept (n=1). Only one patient started TCZ as first biologic drug.
Outcome variables after TCZ treatment over 2 year
TCZ was prescribed in combination with conventional immunosuppressive drugs in 5 of 7 patients (methotrexate in 3 patients and cyclosporine A in 2).
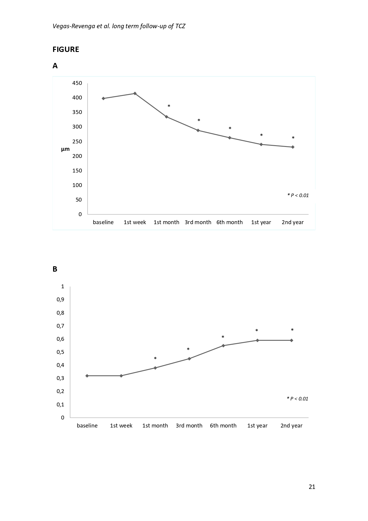
When compared to the initial visit, a statistically significant decrease in macular thickness (397.8 ± 232.1 µm vs. 231.3 ± 42.1 µm, P<0.01) was observed at 24 months of follow-up (Figure 1A). In addition, the remaining variables related to ocular inflammation showed rapid and sustained improvement after the onset of TCZ. Based on the SUN classification criteria for anterior chamber cells (AC cells) and vitritis, all patients had a decrease to grade 0 in the level of ocular inflammation. Five of 14 eyes (35.7%) affected at first visit showed a complete improvement at month 24.
Furthermore, resolution of prominent vitritis was observed in most patients (9 of 11 eyes affected at baseline). Similarly, a significant improvement was observed in BCVA (0.32 ± 0.23 at baseline vs. 0.59 ± 0.33 at 24 month last visit, P=0.007) (Figure 1B).
Median prednisone dose was reduced from 7.5 [7.5-40] mg/day at baseline to 0 [0-5] mg/day at month 24 (P=0.02), achieving a nearly complete glucocorticoid sparing effect.
It should be noted that in 6 of 7 patients’ ocular remission was achieved after a mean follow-up of 25.1 ± 1.5 months, and none of the patients showed any adverse effects, either mild or severe.
Figure 1: A. Time course of macular thickness at 24 months follow-up (affected eyes).B. Mean changes of best corrected visual acuity (BCVA) after TCZ therapy (affected eyes).
Discussion
We followed up over 24-month period 7 patients with CME refractory to conventional immunosuppressive drugs and to biological agents. After TCZ infusion, most patients experienced a rapid and maintained response.
Anti-TNF-a therapy, specifically adalimumab, is the first-line biological agent recommended in the treatment of uveitis refractory to topic/systemic corticosteroids and conventional immunosuppressive drug [41,42]. In general, TNF blockade is effective and has minimal and manageable side effects. Despite these benefits, most studies show that approximately 50% of patients with non-infectious uveitis treated with anti-TNF are unresponsive/intolerant [43]. Those patients non-responsiveness to adalimumab suggest that, apart from TNF-a, there are other biological targets involved in the disease process. Interleukin 6 (IL-6) has emerged as an important cytokine in the pathogenesis of non-infectious uveitis, including those with CME. In this sense, TCZ has demonstrated efficacy in patients with refractory ocular inflammatory diseases [6,8,33-37,44-48].
Infection and inflammation cause significant upregulation of IL-6, which features pleiotropic activity and mediates various biological functions: induction of acute-phase reactants in liver, T cell differentiation, regulates inflammatory cells, homeostasis, and healing after tissue injury [43]. Various systemic autoimmune diseases including chronic rheumatoid arthritis, juvenile idiopathic arthritis, systemic lupus erythematosus, Behçet’s disease, and systemic sclerosis have been associated with dysregulation in IL-6 production [43]. This interleukin has also been found to be significantly elevated in ocular fluids of: diabetic macular edema, retinal vein occlusion, chronic uveitis, glaucoma, dry eye disease, chemical burn injuries, corneal infections and allergic eye diseases [43]. Murray et al. [49] thirty years ago were the first to demonstrate elevated aqueous humor levels of IL-6 in human subjects with uveitis, including, Fuchs’ heterochromic iridocyclitis and toxoplasma uveitis.
Paediatric uveitis is a very challenging condition to treat, it is the most common extra- articular manifestation of JIA [43,50]. Anterior uveitis is the most frequently reported type (83%), followed by intermediate uveitis (9%), pan-uveitis (7%) and posterior uveitis (1%) [50]. JIA- associates uveitis leads to irreversible visual impairment in up to one-third of the affected children [43]. Risk factors for the development of uveitis in JIA patients are young age at JIA diagnosis, female sex, oligoarthritis, presence of serum antinuclear antibodies (ANA) and elevated erythrocyte sedimentation rate [50,51].
Infliximab and adalimumab are used for JIA-associated uveitis in childhood; some studies have demonstrated that adalimumab is as effective as infliximab during the first year of treatment, but it seems to have a higher probability of maintaining remission during a longer follow-up [50]. There are no current guidelines for treating JIA- associated uveitis and CME with TCZ, data mainly come from published case series. An updated literature review on this topic is summarized in Table 1.
Several cases about the use of TCZ in pediatric patients have been reported in the last few years. Babu K. et al. [52] describe the improved response of CME and vascular permeability in a 13-year-old boy with idiopathic uveitis and refractory to conventional immunomodulatory therapy [52]. This case report is the first publication about the utility of tocilizumab in idiopathic paediatric uveitis, especially in pars planitis with refractory macular edema [52]. There was complete resolution of CME and gross reduction in the diffuse leakage on fluorescein angiography (FA) [52].
Afterwards, Wennink et al [53] presented a case series of seven children with refractory non-anterior uveitis treated with tocilizumab 8 mg/kg intravenously every 4 weeks. In all patients, there was an improvement of macular edema and capillary leakage on FA. BCVA improved in five eyes and worsened in one eye due to cataract. No systemic or ocular complications were reported.
A letter to the editor was published by Adán et al. [54] with a 26-year-old female patient presented with CME in both eyes. CME became refractory to conventional immunosuppressive drugs and TCZ-IV was initiated. After 12 infusions, TCZ was stopped due to grade 1 neutropenia. However, in the following examinations visual acuity of the right eye decreased and spectral domain optical coherence tomography (SD-OCT) revealed CME. Subcutaneous TCZ was initiated, after six injections ophthalmic examination revealed no signs of active inflammation, and central foveal thickness decreased [54]. Adán et al. [54] suggest that the results previously observed with TCZ-IV in patients with CME secondary to JIA-associated uveitis could be extrapolated with TCZ-SC. Even Quesada–Masachs [55] reported that ocular disease in JIA associated uveitis is more readily controlled with TCZ-IV than with TCZ- SC.
Subcutaneous route of administration has important advantages, and switching from TCZ- IV to TCZ- SC administration may provide greater flexibility and quality of life to patients who follow TCZ treatment. The efficacy of the SC route over IV route in RA has been evaluated in several studies [56-62]. The results ensure that switching from TCZ-IV to SC is generally successful over time. However, to our knowledge, there are no reports on the results of switching from TCZ-IV to TCZ-SC in patients with JIA. Maybe the results previously observed in patients with RA cannot be extrapolated to patients with JIA. We could speculate that ocular disease is more readily controlled with TCZ-IV than with TCZ-SC because of high blood levels achieved during the first few days after IV infusion [55].
Clinical success of TCZ was encouraging, which led pharmaceutical industry to undertake research in discovering other IL-6 blocking pathways. Currently, several IL- 6/IL-6R inhibitors are under investigation in various phases of different studies [43].
Sarilumab (Kevzara®, Sanofi Genzyme, Regeneron Pharmaceuticals, USA) is a fully human anti-IL-6Ra mAb that blocks both classic and trans-signaling pathway by binding to membrane-bound as well as soluble forms of IL-6Ra, with higher affinity as compared to tocilizumab [63]. In the SATURN study [64], it was demonstrated that subcutaneous sarilumab may provide clinical benefits in the management of non- infectious uveitis of the posterior segment, especially in eyes with uveitic CME. Nevertheless, further studies are needed to evaluate efficacy and safety of sarilumab in this group of patients, also in comparison with other biological molecules.
|
|
Muselier et al, 2011 (37) |
Adan et al, 2013 (13) |
Adan et al, 2013 (65) |
Adan et al, 2014 (66) |
Papo et al, 2014 (45) |
Mesquida et al, 2014 (34) |
Tappeiner C, 2016 (67) |
Deroux A, 2016 (68) |
Deuter et al, 2017 (35) |
Mesquida et al, 2017 (23) |
Sepah et al, 2017 (38) |
Vegas-Revenga et al, 2019 (2) |
Babu et al, 2019 (52) |
Adán et at, 2019 (54) |
Wennink et al, 2020 (53) |
Vegas-Revenga et al, present |
|
No. of patients with CME |
2 |
5 |
1 |
1 |
2 |
7 |
5 |
1 |
5 |
12 |
37 |
25 |
1 |
1 |
7 |
7 |
|
Sex, (W/M), n |
2/0 |
5/0 |
1/0 |
1/0 |
2/0 |
7/0 |
NS |
1/0 |
3/2 |
10/2 |
22/15 |
17/8 |
0/1 |
1/0 |
3/4 |
6/1 |
|
Age, years |
27-69 |
30-68 |
56 |
29 |
21-47 |
23-70 |
7-30 |
23 |
23-57 |
15-62 |
26- 60 |
12-75 |
13 |
26 |
3-11 |
38.9±17.8 years |
|
Underlying disease |
BSRC and idiopathic uveitis |
BSRC (n=3), JIA (n=1), idiopathic panuveitis (n=1) |
Idiopathic panuveitis |
JIA |
Spondyloarthropathy (n=1), idiopathic panuveitis (n=1) |
BSRC (n=3), JIA (n=3), idiopathic uveitis (n=1). |
JIA |
BSRC |
JIA (n=2), ankylosing spondylitis (n=1), rheumatoid arthritis (n=2) |
JIA (n=6), BSRC (n=2), idiopathic panuveitis (n=2), sympathetic ophthalmia (n=1), ankylosing spondylitis (n=1) |
BSRC (n=2), sarcoidosis (n=2), Behçet disease (n=1), Vogt-Koyangi- Harada syndrome (n=2), Ounctate Inner Choroiditis (n=1), TINU syndrome (n=1) idiopathic uveitis (n=4) |
JIA (n=9), BSRC (n=4), sarcoidosis (n=1), Behçet disease (n=7), idiopathic uveitis (n=4) |
Idiopathic pediatric uveitis |
JIA |
JIA |
JIA (n=3), Birdshot (n=2) and idiopathic uveitis (n=2) |
|
Uveitis pattern |
Posterior uveitis + CME, Vitritis + vasculitis + CME. |
Uveitis-related CME |
Severe bilateral CME |
JIA- associated uveitis complicated with CME and VPRT |
Panuveitis + CME |
Posterior uveitis+CME (n=6) and panuveitis + CME (n=1) |
JIA- associated anterior uveitis complicated with CME |
Posterior uveitis + CME |
Chronic anterior uveitis + CME (n=3), acute anterior uveitis + CME (n=1), intermediate uveitis + CME (n=1). |
ME with quiescent uveitis |
Intermediate uveitis (n=6), posterior uveitis (n=5), panuveitis (n=26). |
Anterior uveitis (n=7), intermediate uveitis (n= 4), posterior uveitis (n=5) and panuveitis (n= 9). |
Par planitis [both eyes] and recurrent CME [right eye] |
JIA- associated anterior uveitis complicated with CME |
Intermediate uveitis (n=5), panuveitis (n=2) |
Anterior uveitis (n=2), intermediate uveitis(n=2), posterior uveits (n=2) and panuveitis (n=1). |
|
Previous treatment |
MTX, AZA, MMF, ADA |
MTX, CsA, MMF, IFX, ADA, RTX, ABA |
MTX, CsA, IFX, ADA, |
MTX, IFX, ADA |
MTX, AZA, CYC, CsA, IFN- α, IFX, ADA, ABA, ANK |
MTX, CsA, MMF, IFX, ADA, ABA, RTX |
MTX, CsA, LFN, IFX, ADA, ABA. |
MTX, AZA, CsA, IFX, ADA, ANK |
MTX, MMF, CsA, LFN, Acet, ADA, ETN, ABA, GLM |
MTX, MMF, CsA, ADA, IFX, ETN, ANK, GLM |
MTX, MMF, Tacrolimus, ADA |
DMARDs, IFX, ADA, ETN, GLM, RTX, ABA, ANK, DCZ |
MTX, deflazacortisone, AZA, CsA |
MTX, ADA, IFX |
MMF, MTX, CsA, ADA, MA, |
MTX,CsA, AZA, SSZ, LFN, MMF, Acet, ADA, IFX, ETN, RTX, ABA |
|
TCZ regimen |
8 mg/kg every 4 weeks |
8 mg/kg every 4 weeks |
8 mg/kg every 4 weeks |
8 mg/kg every 4 weeks |
8 mg/kg every 4 weeks |
8 mg/kg every 4 weeks |
8 mg/kg every 4 weeks |
8 mg/kg every 4 weeks |
8 mg/kg every 4 weeks |
8 mg/kg every 4 weeks 4 mg/kg every 4 weeks |
8 mg/kg every 4 weeks 4 mg/kg every 4 weeks |
8 mg/kg/ every 4 weeks (n=23), 8 mg/kg/ every 2 weeks (n= 1), 162 mg/sc/ every week (n=1) |
10 mg/kg body, 14 injections over 12 months. The last injection the dose was reduced to 8 mg/kg |
8 mg/kg every 4 weeks over 12 months 162 mg/sc/ every week |
8 mg/kg every 4 weeks |
8 mg/kg every 4 weeks |
|
Adverse effects related to TCZ |
None |
None |
None |
None |
Leukopenia (n=1), thrombocytopenia(n =1) |
NS |
None |
None |
NS |
Grade 1 neutropenia (n=1) and community-acquired pneumonia (n=1) |
Low absolute neutrophil counts (n=2) |
Nausea (n=1), viral conjunctivitis and bullous impetigo (n=1). |
Leukopenia |
Grade 1 neutropenia and multiple paracervical adenopathies |
NS |
NS |
|
Months of TCZ treatment |
6-8 |
6-12 |
6 |
12 |
7- 25 |
12-18 |
3-12 |
12 |
4-35 |
24 |
12 |
1.5-31 |
13 |
20 |
6-12 |
24 |
|
Ocular outcome |
Improvement (n=2) |
Improvement (n=5) |
Inactive |
Improvement |
Improvement (n= 2) |
Inactive (n=2) |
Improvement (n=5) |
Inactive |
Improvement (n=5) |
Inactive (n=12) |
Improvement (n=37) |
Inactive (n=14) |
Inactive |
Inactive |
Improvement |
Improvement |
|
ABA: abatacept; Acet: Acetazolamide; ADA: Adalimumab; ANK: Anakinra; AZA: Azathioprine; BSRC: Birdshot retinochoroidopathy; CME: Cystoid macular edema; CsA: Cyclosporine A; CYC: cyclophosphamide; DCZ: Daclizumab; DMARDS: Disease Modifying Antirheumatic Drugs; ETN: Etanercept; GLM: Golimumab; IFN-a: Interferon alpha; IFX: Infliximab; JIA: Juvenile Idiopathic Arthritis; LFN: Leflunomide; MA: Mycophenolic Acid; MMF: Mycophenolate Mofetil; MTX: Methotrexate; NS: Not Specified; RTX: Rituximab; SSZ: Sulfasalazine; TCZ: Tocilizumab; TINU: Tubulointerstitial Nephritis and Uveitis; VPRT: Retinal Vasoproliferative Tumor |
||||||||||||||||
The present study is a long term follow up of TCZ in 7 patients (6 women/1 man, mean age of 38.9 ± 17.8 years) selected from the original article by Vegas-Revenga et al [2]. Underlying inflammatory diseases were: JIA, Birdshot and idiopathic uveitis. All patients had bilateral involvement and all patterns of uveitis were present. Besides oral glucocorticoids patients had received immunosuppressive agents (methotrexate, cyclosporine A, azathioprine, sulfasalazine, leflunomide mycophenolate and acetazolamide) and biological therapies (adalimumab, infliximab, etanercept, abatacept, rituximab). Only one patient started TCZ as first biologic drug. Unlike our study, neither of the studies to which we are compared included a large number of patients who had been refractory to other therapies prior to TCZ treatment. TCZ was prescribed in combination with conventional immunosuppressive drugs in 5 of 7 patients. When compared to the initial visit, a statistically significant decrease in macular thickness was observed at 24 months of follow-up. In addition, the remaining variables related to ocular inflammation showed rapid and sustained improvement after the onset of TCZ. All in all, in 6 out of 7 patients ocular remission was achieved and none of the patients showed any adverse effects. Once more, our group confirms the good response of CME to TCZ after a 24-month period. There are some limitations in the study, including the small sample size for the follow-up period. However, our results are results from daily practice emphasizing the beneficial effect of TCZ in refractory CME.
Funding/Support
The study was partially supported by RETICS Programs, RD08/0075 (RIER) and RD12/0009/0013 from ‘‘Instituto de Salud Carlos III’’ (ISCIII) (Spain).
Financial Disclosures
Dr.Nuria Vegas-Revenga, MD; received grants/research supports from AbbVie, Roche, Pfizer, Lilly, Gebro Pharma, MSD, Novartis, Bristol- Myers, Janssen, Sanofi, Celgene and UCB. Dr. José Luis Martín-Varillas received grants/research supports from AbbVie, Pfizer and Celgene. Dr.Vanesa Calvo- Río MD, PhD; received grants/research supports from MSD and Roche, and had consultation fees/participation in company sponsored speaker’s bureau from Abbott, Lilly, Celgene, Grünenthal and UCB pharma. Dr. Marina Mesquida, MD, PhD; is currently employed by Hoffmann-La Roche Ltd, Basel, Switzerland. Dr. Alfredo Adán, MD, PhD; had advisory boards, lectures and grants from Abbvie. Dr. David Diaz-Valle, MD, PhD; had consultation fees/participation in company sponsored speaker´s bureau from Abbvie, MSD, Allergan, Bausch & Lomb and Thea. Dr. Miguel A González-Gay, MD, PhD; received grants/research supports from Abbott, MSD and Roche, and had consultation fees/participation in company sponsored speaker´s bureau from Abbvie, Pfizer, Roche, Novartis, MSD, Lilly and Sanofi. Dr. Ricardo Blanco, MD, PhD; received grants/research supports from Abbott, MSD and Roche, and had consultation fees/participation in company sponsored speaker´s bureau from Abbvie, Pfizer, Roche, Bristol-Myers, Lilly, Janssen and MSD.
No Financial Disclosure Declared
Luis F Linares, MD; Rosalia Demetrio- Pablo, MD, PhD; Elena Aurrecoechea, MD, PhD; J.L. Hernández, MD, PhD.
References
2. Vegas-Revenga N, Calvo-Río V, Mesquida M, Adán A, Hernández MV, Beltrán E, et al. Anti-IL6-Receptor Tocilizumab in Refractory and Noninfectious Uveitic Cystoid Macular Edema: Multicenter Study of 25 Patients. Am J Ophthalmol. 2019 Apr;200:85–94.
3. Riancho-Zarrabeitia L, Calvo-Río V, Blanco R, Mesquida M, Adan AM, Herreras JM, et al. Anti-TNF-α therapy in refractory uveitis associated with sarcoidosis: Multicenter study of 17 patients. Semin Arthritis Rheum. 2015 Dec;45(3):361–8.
4. Bonfioli AA, Orefice F. Sarcoidosis. Semin Ophthalmol. 2005 Jan 1;20(3):177–82.
5. Varron L, Abad S, Kodjikian L, Sève P. Sarcoid uveitis: Diagnostic and therapeutic update. Rev Med Interne. 2011 Feb;32(2):86–92.
6. Calvo-Río V, Santos-Gómez M, Calvo I, González-Fernández MI, López-Montesinos B, Mesquida M, et al. Anti–Interleukin-6 Receptor Tocilizumab for Severe Juvenile Idiopathic Arthritis–Associated Uveitis Refractory to Anti–Tumor Necrosis Factor Therapy: A Multicenter Study of Twenty-Five Patients. Arthritis Rheumatol. 2017 Mar 1;69(3):668–75.
7. Angeles-Han ST, McCracken C, Yeh S, Jenkins K, Stryker D, Rouster-Stevens K, et al. Characteristics of a cohort of children with Juvenile Idiopathic Arthritis and JIA- associated Uveitis. Pediatr Rheumatol Online J. 2015 Jun 2;13.
8. Zulian F, Martini G, Falcini F, Gerloni V, Zannin ME, Pinello L, et al. Early predictors of severe course of uveitis in oligoarticular juvenile idiopathic arthritis. J Rheumatol. 2002 Nov 1;29(11):2446–53.
9. Hirano T, Ohguro N, Hohki S, Hagihara K, Shima Y, Narazaki M, et al. A case of Behçet’s disease treated with a humanized anti-interleukin-6 receptor antibody, tocilizumab. Mod Rheumatol. 2012 Apr 1;22(2):298–302.
10. Horai R, Caspi RR. Microbiome and Autoimmune Uveitis. Front Immunol. 2019;10:232.
11. Zelová H, Hošek J. TNF-α signalling and inflammation: interactions between old acquaintances. Inflamm Res. 2013 Jul 1;62(7):641–51.
12. Perez VL, Papaliodis GN, Chu D, Anzaar F, Christen W, Foster CS. Elevated levels of interleukin 6 in the vitreous fluid of patients with pars planitis and posterior uveitis: the Massachusetts eye & ear experience and review of previous studies. Ocul Immunol Inflamm. 2004 Sep;12(3):193–201.
13. Adán A, Mesquida M, Llorenç V, Espinosa G, Molins B, Hernández MV, et al. Tocilizumab treatment for refractory uveitis-related cystoid macular edema. Graefes Arch Clin Exp Ophthalmol. 2013 Nov 1;251(11):2627–32.
14. Noma H, Funatsu H, Mimura T, Harino S, Hori S. Vitreous Levels of Interleukin-6 and Vascular Endothelial Growth Factor in Macular Edema with Central Retinal Vein Occlusion. Ophthalmology. 2009 Jan 1;116(1):87–93.
15. Zahir-Jouzdani F, Atyabi F, Mojtabavi N. Interleukin-6 participation in pathology of ocular diseases. Pathophysiol Off J Int Soc Pathophysiol. 2017 Sep;24(3):123–31.
16. Oray M, Samra K. A, Ebrahimiadib N, Meese H, Foster C.S. Long-term side effects of glucocorticoids. Expert Opinion on Drug Safety: 2016 Feb; 15(4): 457-465.
17. Caplan A, Fett N, Rosenbach M, Werth VP, Micheletti RG. Prevention and management of glucocorticoid-induced side effects: A comprehensive review: A review of glucocorticoid pharmacology and bone health. J Am Acad Dermatol. 2017 Jan;76(1):1– 9.
18. Caplan A, Fett N, Rosenbach M, Werth VP, Micheletti RG. Prevention and management of glucocorticoid-induced side effects: A comprehensive review: Gastrointestinal and endocrinologic side effects. J Am Acad Dermatol. 2017 Jan;76(1):11–6.
19. Caplan A, Fett N, Rosenbach M, Werth VP, Micheletti RG. Prevention and management of glucocorticoid-induced side effects: A comprehensive review: Infectious complications and vaccination recommendations. J Am Acad Dermatol. 2017 Feb 1;76(2):191–8.
20. Caplan A, Fett N, Rosenbach M, Werth VP, Micheletti RG. Prevention and management of glucocorticoid-induced side effects: A comprehensive review: Ocular, cardiovascular, muscular, and psychiatric side effects and issues unique to pediatric patients. J Am Acad Dermatol. 2017 Feb;76(2):201–7.
21. Lanthier N, Parc C, Scavennec R, Dhôte R, Brézin AP, Guillevin L. Infliximab in the treatment of posterior uveitis in Behçet’s disease: Long term follow up in four patients. Presse Médicale. 2005 Jul 1;34(13):916–8.
22. Atienza-Mateo B, Martín-Varillas JL, Calvo-Río V, Demetrio-Pablo R, Beltrán E, Sánchez- Bursón J, et al. Comparative Study of Infliximab Versus Adalimumab in Refractory Uveitis due to Behçet’s Disease: National Multicenter Study of 177 Cases. Arthritis Rheumatol. 2019;71(12):2081–9.
23. Mesquida M, Molins B, Llorenç V, Hernández MV, Espinosa G, Sainz de la Maza M, et al. Twenty-four month follow-up of Tocilizumab therapy for refractory uveitis-related macular edema. Retina Phila Pa. 2018 Jul;38(7):1361-1370
24. Martín-Varillas JL, Calvo-Río V, Beltrán E, Sánchez-Bursón J, Mesquida M, Adán A et al. Successful Optimization of Adalimumab Therapy in Refractory Uveitis Due to Behçet's Disease. Ophthalmology. 2019 Jan;126:177.
25. Atienza-Mateo B, Calvo-Río V, Beltrán E, Martínez-Costa L, Valls-Pascual E, Hernández- Garfella M et al. Anti-interleukin 6 receptor tocilizumab in refractory uveitis associated with Behçet's disease: multicentre retrospective study. Rheumatology (Oxford). 2018;57:856-864.
26. Palmou-Fontana N, Calvo-Río V, Martín-Varillas JL, Fernández-Díaz C, Mesquida M, Adán A et al. Golimumab in refractory uveitis associated to juvenile idiopathic arthritis: multicentre study of 7 cases and literature review. Clin Exp Rheumatol. 2018;36:652-657.
27. Santos-Gómez M, Calvo-Río V, Blanco R, Beltrán E, Mesquida M, Adán A et al. The effect of biologic therapy different from infliximab or adalimumab in patients with refractory uveitis due to Behçet's disease: results of a multicentre open-label study. Clin Exp Rheumatol. 2016; (6 Suppl 102):S34-S40.
28. Calvo-Río V, Blanco R, Santos-Gómez M, Rubio-Romero E, Cordero-Coma M, Gallego- Flores A et al. Golimumab in refractory uveitis related to spondyloarthritis. Multicenter study of 15 patients. Semin Arthritis Rheum. 2016;46:95-101.
29. Calvo-Río V, de la Hera D, Blanco R, Beltrán-Catalán E, Loricera J, Cañal J et al. Golimumab in uveitis previously treated with other anti-TNF-alpha drugs: a retrospective study of three cases from a single centre and literature review. Clin Exp Rheumatol. 2014;32:864-8.
30. Calvo-Río V, Blanco R, Beltrán E, Sánchez-Bursón J, Mesquida M, Adán A et al. Anti- TNF-α therapy in patients with refractory uveitis due to Behçet's disease: a 1-year follow-up study of 124 patients. Rheumatology (Oxford). 2014;53:2223-31.
31. Cordero-Coma M, Calvo-Río V, Adán A, Blanco R, Álvarez-Castro C, Mesquida M et al. Golimumab as rescue therapy for refractory immune-mediated uveitis: a three-center experience. Mediators Inflamm. 2014;2014:717598.
32. Ogata A, Tanaka T. Tocilizumab for the Treatment of Rheumatoid Arthritis and Other Systemic Autoimmune Diseases: Current Perspectives and Future Directions. Int J Rheumatol. 2012;2012:946048.
33. Silpa-Archa S, Oray M, Preble JM, Foster CS. Outcome of tocilizumab treatment in refractory ocular inflammatory diseases. Acta Ophthalmol (Copenh). 2016 Sep;94(6):e400-406.
34. Mesquida M, Molins B, Llorenç V, Maza MS de la, Adán A. Long-Term Effects of Tocilizumab Therapy for Refractory Uveitis-Related Macular Edema. Ophthalmology. 2014 Dec 1;121(12):2380–6.
35. Deuter CME, Zierhut M, Igney-Oertel A, Xenitidis T, Feidt A, Sobolewska B, et al. Tocilizumab in Uveitic Macular Edema Refractory to Previous Immunomodulatory Treatment. Ocul Immunol Inflamm. 2017 Mar 4;25(2):215–20.
36. Muselier A, Bielefeld P, Bidot S, Vinit J, Besancenot J-F, Bron A. Efficacy of Tocilizumab in Two Patients with anti-TNF-alpha Refractory Uveitis. Ocul Immunol Inflamm. 2011 Oct 1;19(5):382–3.
37. Muselier A, Bielefeld P, Bidot S, Vinit J, Besancenot J-F, Bron A. Efficacy of Tocilizumab in Two Patients with anti-TNF-alpha Refractory Uveitis. Ocul Immunol Inflamm. 2011 Oct 1;19(5):382–3.
38. Sepah YJ, Sadiq MA, Chu DS, Dacey M, Gallemore R, Dayani P, et al. Primary (Month-6) Outcomes of the STOP-Uveitis Study: Evaluating the Safety, Tolerability, and Efficacy of Tocilizumab in Patients with Non-Infectious Uveitis. Am J Ophthalmol. 2017 Nov; 183, 71–80
39. Jabs DA, Nussenblatt RB, Rosenbaum JT, Standardization of Uveitis Nomenclature (SUN) Working Group. Standardization of uveitis nomenclature for reporting clinical data. Results of the First International Workshop. Am J Ophthalmol. 2005 Sep;140(3):509–16.
40. Nussenblatt RB, Palestine AG, Chan CC, Roberge F. Standardization of vitreal inflammatory activity in intermediate and posterior uveitis. Ophthalmology. 1985 Apr;92(4):467–71.
41. Sheppard J, Joshi A, Betts KA, Hudgens S, Tari S, Chen N, et al. Effect of Adalimumab on Visual Functioning in Patients With Noninfectious Intermediate Uveitis, Posterior Uveitis, and Panuveitis in the VISUAL-1 and VISUAL-2 Trials. JAMA Ophthalmol. 2017 Jun 1;135(6):511–8.
42. Goto H, Zako M, Namba K, Hashida N, Kaburaki T, Miyazaki M, et al. Adalimumab in Active and Inactive, Non-Infectious Uveitis: Global Results from the VISUAL I and VISUAL II Trials. Ocul Immunol Inflamm. 2019 Jan 2;27(1):40–50.
43. Karkhur S, Hasanreisoglu M, Vigil E, Halim MS, Hassan M, Plaza C, et al. Interleukin-6 inhibition in the management of non-infectious uveitis and beyond. J Ophthalmic Inflamm Infect. 2019 Dec;9(1):17.
44. Calvo-Río V, de la Hera D, Beltrán-Catalán E, Blanco R, Hernandez M, Martínez-Costa L, et al. Tocilizumab in uveitis refractory to other biologic drugs: a study of 3 cases and a literature review. Clin Exp Rheumatol. 2014 Aug;32(4 Suppl 84):S54-57.
45. Papo M, Bielefeld P, Vallet H, Seve P, Wechsler B, Cacoub P, et al. Tocilizumab in severe and refractory non-infectious uveitis. Clin Exp Rheumatol. 2014 Aug;32(4 Suppl 84):S75-79.
46. Mesquida M, Leszczynska A, Llorenç V, Adán A. Interleukin-6 blockade in ocular inflammatory diseases. Clin Exp Immunol. 2014 Jun;176(3):301–9.
47. Adán A, Llorenç V, Mesquida M, Pelegrín L. Tocilizumab treatment for recalcitrant uveitic macular edema. Graefes Arch Clin Exp Ophthalmol. 2013 Sep;251(9):2249–50.
48. Adán A, Mesquida M, Llorenç V, Modesto C. Tocilizumab for retinal vasoproliferative tumor secondary to juvenile idiopathic arthritis-associated uveitis: a case report. Graefes Arch Clin Exp Ophthalmol. 2014 Jan 1;252(1):163–4.
49. Murray PI, Hoekzema R, Haren MA van, Hon FD de, Kijlstra A. Aqueous humor interleukin-6 levels in uveitis. Invest Ophthalmol Vis Sci. 1990 May 1;31(5):917–20.
50. Dipasquale V, Atteritano M, Fresta J, Castagna I, Conti G. Tocilizumab for refractory uveitis associated with juvenile idiopathic arthritis: A report of two cases. J Clin Pharm Ther. 2019;44(3):482–5.
51. Sousa-Neves F, Braga J, Teixeira S, Barge S, Fonseca S, Meira D, et al. Tocilizumab in refractory juvenile idiopathic arthritis with associated uveitis: a case report. Acta Reumatol Port. 2019 Jun;44(2):151–4.
52. Babu K, Sudheer B, Rao A. Intravenous tocilizumab in idiopathic pediatric uveitis with refractory cystoid macular edema – A case report. Indian J Ophthalmol. 2019;67(6):975.
53. Wennink RAW, Ayuso VK, de Vries LA, Vastert SJ, de Boer JH. Tocilizumab as an Effective Treatment Option in Children with Refractory Intermediate and Panuveitis. Ocul Immunol Inflamm. 2020 Feb 14;1–5.
54. Adán A, Moll-Udina A, Ramirez J, Llorenç V. Subcutaneous Tocilizumab for Cystoid Macular Edema Secondary to Juvenile Idiopathic Arthritis (JIA)-associated Uveitis: A Case Report. Ocul Immunol Inflamm. 2019 Oct 7;1–3.
55. Quesada-Masachs E, Caballero CM. Subcutaneous Tocilizumab May Be Less Effective than Intravenous Tocilizumab in the Treatment of Juvenile Idiopathic Arthritis– associated Uveitis. J Rheumatol. 2017 Feb 1;44(2):260–1.
56. Burmester GR, Rubbert-Roth A, Cantagrel A, Hall S, Leszczynski P, Feldman D, et al. A randomised, double-blind, parallel-group study of the safety and efficacy of subcutaneous tocilizumab versus intravenous tocilizumab in combination with traditional disease-modifying antirheumatic drugs in patients with moderate to severe rheumatoid arthritis (SUMMACTA study). Ann Rheum Dis. 2014 Jan;73(1):69–74.
57. Burmester GR, Rubbert-Roth A, Cantagrel A, Hall S, Leszczynski P, Feldman D, et al. Efficacy and safety of subcutaneous tocilizumab versus intravenous tocilizumab in combination with traditional DMARDs in patients with RA at week 97 (SUMMACTA). Ann Rheum Dis. 2016 Jan;75(1):68–74.
58. Kivitz A, Wallace T, Olech E, Borofsky M, Devenport J, Pei J, et al. Long-Term Safety and Efficacy of Subcutaneously Administered Tocilizumab for Adult Rheumatoid Arthritis: A Multicenter Phase 3b Long-term Extension Study. Rheumatol Ther. 2016 Dec;3(2):291– 304.
59. Abdallah H, Hsu JC, Lu P, Fettner S, Zhang X, Douglass W, et al. Pharmacokinetic and Pharmacodynamic Analysis of Subcutaneous Tocilizumab in Patients With Rheumatoid Arthritis From 2 Randomized, Controlled Trials: SUMMACTA and BREVACTA. J Clin Pharmacol. 2017;57(4):459–68.
60. Strand V, Michalska M, Birchwood C, Pei J, Tuckwell K, Finch R, et al. Impact of tocilizumab administered intravenously or subcutaneously on patient-reported quality-of-life outcomes in patients with rheumatoid arthritis. RMD Open. 2018;4(1):e000602.
61. Kivitz A, Olech E, Borofsky M, Zazueta BM, Navarro-Sarabia F, Radominski SC, et al. Subcutaneous tocilizumab versus placebo in combination with disease-modifying antirheumatic drugs in patients with rheumatoid arthritis. Arthritis Care Res. 2014 Nov;66(11):1653–61.
62. Ogata A, Tanimura K, Sugimoto T, Inoue H, Urata Y, Matsubara T, et al. Phase III study of the efficacy and safety of subcutaneous versus intravenous tocilizumab monotherapy in patients with rheumatoid arthritis. Arthritis Care Res. 2014 Mar;66(3):344–54.
63. Scott LJ. Sarilumab: First Global Approval. Drugs. 2017 Apr;77(6):705–12.
64. Heissigerová J, Callanan D, de Smet MD, Srivastava SK, Karkanová M, Garcia-Garcia O, et al. Efficacy and Safety of Sarilumab for the Treatment of Posterior Segment Noninfectious Uveitis (SARIL-NIU): Ophthalmology. 2019 Mar;126(3):428–37.
65. Adán A, Llorenç V, Mesquida M, Pelegrín L. Tocilizumab treatment for recalcitrant uveitic macular edema. Graefes Arch Clin Exp Ophthalmol Albrecht Von Graefes Arch Klin Exp Ophthalmol. 2013 Sep;251(9):2249–50.
66. Adán A, Mesquida M, Llorenç V, Modesto C. Tocilizumab for retinal vasoproliferative tumor secondary to juvenile idiopathic arthritis-associated uveitis: a case report. Graefes Arch Clin Exp Ophthalmol Albrecht Von Graefes Arch Klin Exp Ophthalmol. 2014 Jan;252(1):163–4.
67. Tappeiner C, Mesquida M, Adán A, Anton J, Ramanan AV, Carreno E, et al. Evidence for Tocilizumab as a Treatment Option in Refractory Uveitis Associated with Juvenile Idiopathic Arthritis. J Rheumatol. 2016 Dec;43(12):2183–8.
68. Deroux A, Chiquet C, Bouillet L. Tocilizumab in severe and refractory Behcet’s disease: Four cases and literature review. Semin Arthritis Rheum. 2016 Jun;45(6):733–7.
