Loading
Archives of Nursing and Healthcare
ISSN: 2769-7835
Nurse educators should use pedagogies of kindness and hope to teach nursing students’ compassion
The study by Younas and Maddigan [1] Proposing a policy framework for nursing education for fostering compassion in nursing students: A critical review, focused on the cultivation of the quality of compassion in nursing students. While these authors conducted a credible literature review that led to a conclusion that nurse educators should use a range of approaches to teaching students’ compassion, they did not articulate what those approaches could be.
Arch Nurs Healthc, 2021, Volume Volume 1, Issue Issue 1, p1-2 | DOI: 10.46439/nursing.1.001
Exploring undergraduate nursing students’ preferences in psychiatric nursing simulation modalities
According to the Centers for Disease Control and Prevention, more than one in five American adults live with a mental illness [1]. Due to the associated stigma and fear of discrimination, people who are impacted by mental health refuse to discuss or confront this disease. While mental health impacts all aspects of American lives, more funds, professional support, training and education are needed to tackle mental health challenges [2].
Arch Nurs Healthc, 2025, Volume Volume 3, Issue Issue 1, p1-2 | DOI: 10.46439/nursing.3011
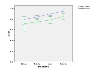
Healthcare professionals’ awareness and knowledge of COVID-19 and radiation safety
Background: lack of knowledge and awareness of COVID-19 and radiation safety among healthcare professionals will adversely affect their health and the patients’ safety due to unnecessary radiation exposure and rapid spread of COVID-19. The purpose of this study is to evaluate the knowledge and the awareness of both domains; COVID-19 and radiation awareness in one survey study.
Arch Nurs Healthc, 2022, Volume Volume 2, Issue Issue 1, p1-7 | DOI: 10.46439/nursing.2.006
Commentary on “Health parameters in standing and non-standing non-ambulatory adults with cerebral palsy
Cerebral palsy (CP) is a condition that affects people who live with primary impairment of the motor system affecting the trunk and extremities. The condition has onset occurring during fetal life or in the early developmental years [1]. Seizures can be associated with CP, as well as secondary impairments involving sensation, cognition, behavior, communication, and the musculoskeletal system. Challenges with performing activities of daily living and community participation are intrinsic to the CP condition, which has a prevalence of about 2-3 per thousand live births [2,3].
Arch Nurs Healthc, 2021, Volume Volume 1, Issue Issue 1, p3-4 | DOI: 10.46439/nursing.1.002
Commentary: Deconstructing the sexualization of menstruation—from societal myths to public health implications
Menstruation, an everyday organic process essential for duplication, has long been guide-friendly stigmas and impressions. The focus article, “The Sexualization of Menstruation: On Rape, Tampons, and ‘Prostitutes,’” exposes the disquieting socio-enlightening frameworks and fundamental issues that enhance the sexualization of period. This analysis further surveys the enlightening, intellectual, and community health dimensions of the issue while testing allure associations for feminist discourse and procedure.
Arch Nurs Healthc, 2025, Volume Volume 3, Issue Issue 1, p3-4 | DOI: 10.46439/nursing.3.012
Commentary on “Discussing diabetes, palliative care and end of life care: choosing the right language”
Our paper entitled “Discussing diabetes, palliative care and end of life care: choosing the right language” reports a core aspect of our research program, which focuses on older people with diabetes, palliative and end of life care for people with diabetes, and the effect of language on clear communication, that commenced in 2009 [1].
Arch Nurs Healthc, 2021, Volume Volume 1, Issue Issue 1, p5-7 | DOI: 10.46439/nursing.1.003
Enhancing nurses’ continuous professional development through ARCS-V (attention relevance, confidence, satisfaction, volition) motivational design: The path to success
Motivation plays a crucial role in the professional development of healthcare workers, particularly nurses, as it directly impacts learning engagement, clinical performance, and patient care quality. Given the high-stress environment in which nurses operate, training programs must incorporate motivational design strategies to sustain engagement and enhance learning outcomes.
Arch Nurs Healthc, 2025, Volume Volume 3, Issue Issue 1, p5-10 | DOI: 10.46439/nursing.3.013
Kinking of an epidural catheter inside the epidural space: Case report
Kinking of an epidural catheter is a rare complication associated with the catheter material, diameter, design and length of introduction inside the epidural space. Flushing test should be attempted before fixation of the catheter on the skin to ensure its normal function. If a kink located distal to the skin is suspected, a slight withdrawal could relieve the obstruction, but usually the complete withdrawal and new catheter placement is needed.
Arch Nurs Healthc, 2022, Volume Volume 2, Issue Issue 1, p8-9 | DOI: 10.46439/nursing.2.007
Pediatric convulsive status epilepticus: Is levetiracetam another arrow in the quiver?
Pediatric convulsive status epilepticus is a neurological emergency requiring termination in a time critical fashion, if permanent brain damage or death are to be avoided. Levetiracetam has been suggested as a potential second line agent for benzodiazepine refractory seizures. This review will examine the evidence for levetiracetam’s efficacy and safety in the management of pediatric convulsive status epilepticus.
Arch Nurs Healthc, 2021, Volume Volume 1, Issue Issue 1, p8-11 | DOI: 10.46439/nursing.1.004
Enteral feeding of preterm neonates: A review
Optimum nutrition is the key for growth and neurodevelopment of the vulnerable preterm neonates, yet immaturity of the gut and risk of necrotizing enterocolitis in this subgroup of neonates create hesitancy regarding aggressive feeding. Feeding practices in the preterm babies are heterogeneous across various neonatal intensive care units. Many neonatal units still differ in terms of feeding intervals, volume of feed initiation and slow versus fast advancement of feeds.
Arch Nurs Healthc, 2022, Volume Volume 2, Issue Issue 1, p10-16 | DOI: 10.46439/nursing.2.008
Bridging the gap: Transforming psychiatric nursing attitudes toward family involvement to improve inpatient and post-discharge outcomes
Despite global recognition of the benefits of family involvement in psychiatric care, the attitudes of mental health professionals—particularly nursing staff—remain ambivalent and inconsistent. This article analyzes current findings on nurses' attitudes toward family involvement and integrates international literature to propose strategies for reshaping these perceptions to optimize treatment outcomes during and after hospitalization.
Arch Nurs Healthc, 2025, Volume Volume 3, Issue Issue 1, p11-14 | DOI: 10.46439/nursing.3.014
Significance of BRCA genetic testing for preoperative breast cancer patients
Examining BRCA mutations in preoperative breast cancer patients is very important when selecting a surgical procedure. Although there are advantages and disadvantages associated with knowing about the presence of genetic mutations, including for the patient’s family, there are many benefits for the patient. BRCA genetic testing should be recommended for patients who are strongly suspected of being positive for a BRCA mutation.
Arch Nurs Healthc, 2021, Volume Volume 1, Issue Issue 1, p12-13 | DOI: 10.46439/nursing.1.005
The perceived value of the nursing profession and its future direction
Registered nurses including advanced practice registered nurse practitioners (APRN) are the backbone of the healthcare system. Their responsibilities extend beyond basic patient care to include health promotion, disease prevention, management of acute and chronic illnesses and providing services in anesthesia care and obstetrics. Although nurses represent the largest segment of healthcare professionals and are widely recognized as indispensable collaborators with physicians, they paradoxically occupy undervalued position within the healthcare hierarchy.
Arch Nurs Healthc, 2025, Volume Volume 3, Issue Issue 1, p15-21 | DOI: 10.46439/nursing.3.015
Using DMAIC (Define, Measure, Analyze, Improve, and Control) to reduce falls in the inpatient psychiatric setting
Introduction: Fall prevention measures are a hallmark of high-quality hospital care worldwide. Many of the same risk factors for falls in an acute hospital setting contribute to falls in a behavioral health unit. However, some risk factors are unique to the inpatient psychiatric setting. Factors include the expectation for increased mobilization on an inpatient psychiatric unit, extrapyramidal side effects of medications, orthostatic hypotension as a side effect of medication, inability to use devices such as walkers and canes on psychiatric units because of safety concerns. The current quality improvement study (QI) was designed to investigate the effectiveness of the DMAIC (Define, Measure, Analyze, Improve, Control) approach to reduce falls in the inpatient psychiatric setting.
Arch Nurs Healthc, 2022, Volume Volume 2, Issue Issue 1, p17-22 | DOI: 10.46439/nursing.2.009
Hindering patient safety with vaccination fraud: A case study
Background: With recent changes influenced by the US Secretary of Health and Human Services, public confusion around vaccination requirements has become a significant issue. A lack of trust in health institutions creates an environment that vaccination fraud can capitalize on. This case study examines the impact of vaccination fraud on patient safety and professional integrity within nursing.
Arch Nurs Healthc, 2025, Volume Volume 3, Issue Issue 1, p22-26 | DOI: 10.46439/nursing.3.016
Evidence-based nursing in bachelor assignments - A mini review
The mini-review is an update of the original article: Do bachelor assignments in Danish midwifery- and nursing educations reflect evidence-based practice? A document study [1]. We will summarize the findings from the original article, add an analysis of 140 recent bachelor assignments and present the result of a new search of literature to see recent developments in the field. Our aim is to see if the bachelor assignments present evidence-based nursing.
Arch Nurs Healthc, 2022, Volume Volume 2, Issue Issue 1, p23-26 | DOI: 10.46439/nursing.2.010
Common practice gaps and influencing factors in enterovirus infection control among childcare personnel in Taiwan: A review
Background: Enterovirus infection poses a significant and recurrent public health challenge in Taiwanese preschool and childcare settings. While numerous studies address knowledge gaps, there is a lack of synthesized evidence identifying common practice errors and the multi-level factors influencing childcare personnel's infection control behaviors from a systemic perspective.
Arch Nurs Healthc, 2025, Volume Volume 3, Issue Issue 1, p27-33 | DOI: 10.46439/nursing.3.017
Nursing care for patients with open thoracostomy: Case series report and proposal for standardized care protocol
Objective: To describe the clinical characteristics and nursing care of patients with prolonged open thoracostomy, and to evaluate the effectiveness of a short training program for nurses.
Arch Nurs Healthc, 2025, Volume Volume 3, Issue Issue 1, p34-39 | DOI: 10.46439/nursing.3.018